
她,名叫赵燕燕(化名),用自己坚定的意志和无私的爱,诠释了生命的真谛和人间的大爱。2024年3月,为了挽救一位素不相识的白血病患者,赵燕燕义无反顾地决定捐献造血干细胞,而为了达到捐献标准,她调整自己的生活习惯,加强锻炼,正常作息,甚至在饮食上也做出了巨大的改变。她的故事,让人感动,更让人敬佩。

赵燕燕的家人和朋友得知她的决定后,纷纷表达了对她的担忧和支持。她的丈夫虽然担心她的健康,但也尊重并支持她的选择。他说:“我知道,如果她不做这件事,她会后悔一辈子。”而对于她的孩子来说,母亲的这一行为无疑是最好的榜样教育。
6月17日,记者见到赵燕燕时,她正安静地躺在病床上进行造血干细胞采集。“终于等到捐献的这一天了,心里踏实下来了。一天没完成捐献,我心里都不踏实。”33岁的赵燕燕笑着说。
2011年5月,在一次无偿献血活动中,她报名成为造血干细胞捐献志愿者。今年3月,她接到武汉市红十字会的电话通知,与患者配型成功,面对这一结果,赵燕燕没有退缩,尽管她知道捐献过程可能会带来一些身体上的不适,但她依然坚定地做出了决定。

第一次体检,她没能顺利通过。“可能是因为经常熬夜的原因,转氨酶有些高。”赵燕燕说,她没有放弃,“就差这么点事儿就能救人一命了。”
她开始了艰苦的努力。她戒掉了熬夜的习惯,每天保证充足的睡眠时间;她加强了锻炼,每天早晚坚持跑步、做瑜伽;她在饮食上做出了巨大的改变,戒掉了辛辣、油腻的食物,每天保证摄入足够的营养。这样的改变,对于一个普通人来说,也许并不算太难,但对于赵燕燕来说,却是一次大挑战。
果不其然,在第二次复查中,她的身体状况全部符合条件,体检通过。
“一直想改掉的不良习惯居然因为要捐献造血干细胞而改掉了。”她笑着说,自己会把好的生活习惯坚持下去。
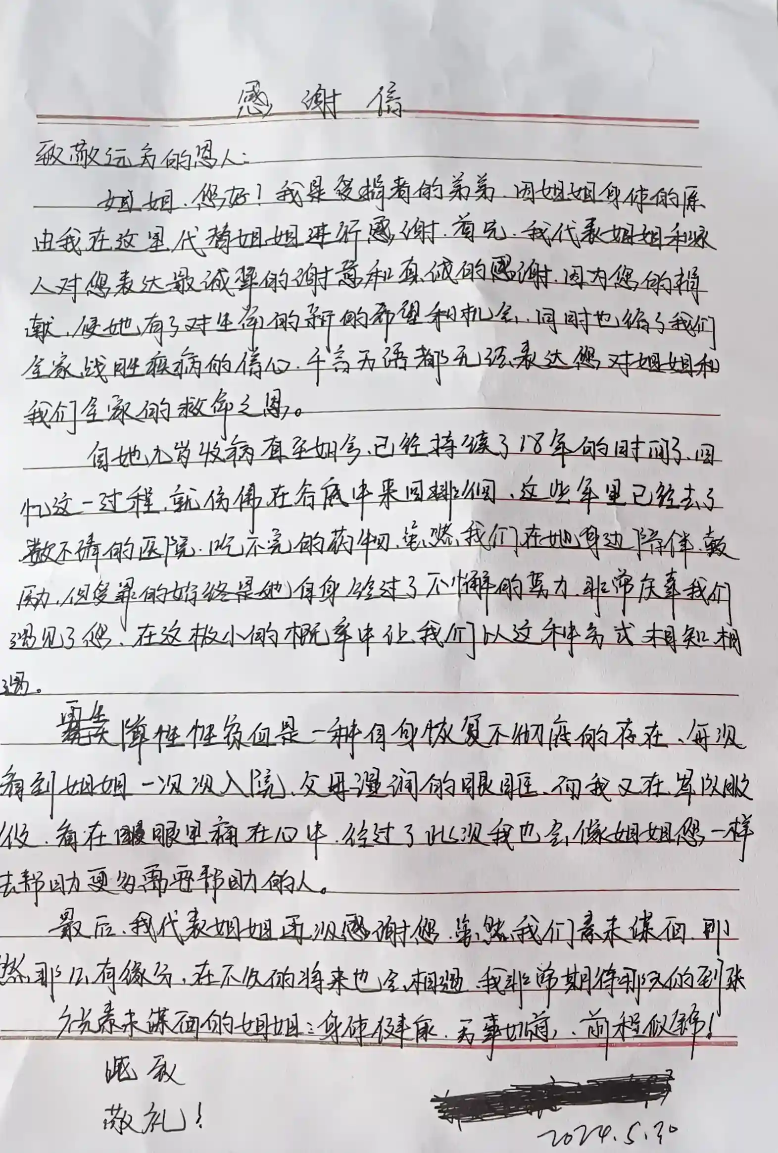
6月17日,捐献的日子终于到来了。赵燕燕躺在血液科采集病床上,心中充满了期待和紧张。她知道,这一刻,她不仅是在挽救一个生命,更是在传递一份人间的大爱。采集过程进行得很顺利,她也成功地捐献了自己的造血干细胞。当患者家属通过感谢信向她表示感谢时,她只是微笑着说:“这是我应该做的。”
